Two Transformations of Triangle 2701

Exploring the patterns found by analyzing the alphanumeric structure of Scripture
bluetriangle
Posts: 178
Joined: Thu Oct 16, 2025 9:28 pm

Re: Two Transformations of Triangle 2701

Post by bluetriangle »

RAMcGough wrote: Sat Feb 28, 2026 12:33 pm Thank you for that detailed explanation. Seeing the numbers that you actually used really helps. It was hard on my old eyes to try to count those dots. It would be good if you added a note to the images so people like me can understand what you really did and verify the numbers.
It's been hard on my old eyes too! In fact it's been hard on every part of me. I'm like an old horse ready for the knacker's yard now (I'm only 66, but feel older). But I'll bear your words in mind. Thanks for letting me know.
RAMcGough wrote: Sat Feb 28, 2026 12:33 pmI agree that your method of recursively removing the "largest possible" inverted triangle is logically consistent and it does create an approximation of a Sierpinski triangle. But the visual and mathematical inconsistency remains; some dots are shared while others are not. This is just a fact because an arbitrary triangular grid does not accommodate a Sierpinski triangle. Yes, it visually reminds one of a Sierpinski triangle, but close inspection shows it is not really a fractal.
It will only ever be an approximation of a fractal, yes. But the larger the numerical triangle the closer we will come to that fractal. So T(Infinity) will be the only numerical triangle that can also become a perfect fractal, after infinite iterations!

The logos star is the same. It's a second-iteration Koch snowflake, but in reality is just a crude approximation of the true fractal. Again only T(Infinity) will give the actual fractal. Only G-triangles can be taken one or more iterations towards the Koch snowflake and most of them only one iteration at that. The first that can be taken two iterations is T91. The first that can be taken three iterations is, oh I forget, but it yields a snowflake with 1261 counters.
RAMcGough wrote: Sat Feb 28, 2026 12:33 pm I think it may be the best approximation you could get if you start with an arbitrary triangle T(n). But to me, such approximations are not worthy of God.
I'm not trying to give offense, but perhaps it's what you expect from God that's the issue.

Taking the encoding of pi and e in G1.1 and J1.1, these are transcendentals and so impossible to encode using numbers or algebraic formulae. Even if you use a Taylor series, such as

e = 0! + 1! + 2! + 3! . . . . . .

you would need an infinitely long book to do so. They are good approximations of the numbers though and of course encoding them was far beyond the capabilities and knowledge of the scribes. If they weren't encoded by The Logos how could it have been done? Advanced aliens with a quantum computer? Given the huge timescales and the different physical locations, languages and cultures involved, as well as the myriad other codes in the Bible, that can be discounted. It can only have come from a realm beyond time and place, something like Bohm's implicate order (the Mind of God), manifesting over time in the explicate order (the material universe).

Perhaps the accuracy is also a reflection of our own sin. Maybe if man was a better creature the codes would be better. By this I mean that the codes are like standing waves created by our interaction with the word. A good analogy is standing waves in water or similar media. If our minds were purer God could have done more with them - and vice versa of course.
RAMcGough wrote: Sat Feb 28, 2026 12:33 pmIt reminds me of the many people who take approximations of real or rational numbers and round them off to fit integer patterns they like.
Such as this?
1080/1480 gives alpha x 100, with an error only 1 in 132,000. It's meaningful too, given that alpha qualifies the strength of the interaction between light and matter. 1080 is the Holy Spirit and 1480 is the Incarnation: light and matter. Then there is 2368/754 approximating to pi and 2368/749 approximation to the square root of 10. I think they're genuine and the pi one is also meaningful, as Jesus is the mediator between heaven (circle) and earth (straight line, part of a square). .
RAMcGough wrote: Sat Feb 28, 2026 12:33 pmOr when people use that algorithm that produces the first few digits of pi from Genesis 1:1 and e from John 1:1. Maybe God did it, but it has never felt convincing to me. I grant that it is intriguing that a single algorithm produces those two numbers from those two verses which are related in other more obvious ways, so I don't reject it out of hand. It's just not my cup of tea.
Well, I've just written about that. It's my cup of tea, certainly. Incidentally, when the alpha encoding, (27013627)^2, is added to the pi and e encodings, the final error is only 1 part in 16 million or thereabouts.
RAMcGough wrote: Sat Feb 28, 2026 12:33 pmHere's the big question: Where's the motivation for thinking that "only begotten Son" and "The Holy Spirit" should be encoded this way? It has the classic hallmarks of the game of creating a new pattern from an established pattern and then scanning the entire universe of possible words and phrases that might fit something you like. The phrases you chose have absolutely nothing to do with the verse itself or the Sierpinski triangle. This is why it looks like a combination of cherry picking and force fitting a pattern.
I just answered that in my previous post. I had to cherry pick from the start. Both numbers leapt out at me and are part of a pattern of Divine signatures found in many preeminent locations. I believe I've found many of them, including little ELS codes in the NIV. Here's one. This works better with Courier.

IN
THEBEGIN
NINGGODC
REATEDTH
EHEAVENS

Do you see God crossing God here? The skip interval is 8 too.

I think our approaches differ in that you are more deductive and I'm more inductive. I worked in labs for 29 years (developing cleaning and hygiene products) and used that kind of reasoning all the time. In many ways I've had to live with uncertainty and perhaps it helped me.
RAMcGough wrote: Sat Feb 28, 2026 12:33 pm I respect your efforts. Please don't take this as my "final judgment". I'm merely telling you what I see as I see it. I was ignorant of the exact details of your method when I first commented, and your explanation cleared things up a lot, so I hope you see that's how all these conversations will go. You are obviously very intelligent and careful in your presentations and I really enjoy talking with you. So once again, please have patience with me as we work together to come to a common understanding.

God bless you my friend,
God bless you too. And God willing we'll climb the mountain of knowledge and meet at the summit, where all is known.
Last edited by bluetriangle on Sat Feb 28, 2026 10:42 pm, edited 1 time in total.
RAMcGough
Site Admin
Posts: 310
Joined: Fri Oct 10, 2025 6:18 pm
Contact:

Re: Two Transformations of Triangle 2701

Post by RAMcGough »

bluetriangle wrote: Sat Feb 28, 2026 3:52 pm It's been hard on my old eyes too! In fact it's been hard on every part of me. I'm like an old horse ready for the knacker's yard now (I'm only 66, but feel older). But I'll bear your words in mind. Thanks for letting me know.
I'm 66 too. My body is slowing down, but my spirit feels fresh like a child since coming back to faith in Christ. I feel like I'm splashing around in a fountain of love, joy and peace - the fruit of the Spirit.

I've been riding my bike almost every day for many years, and I'm watching my average speed drop from 17 mph, to 15 mph, to 14 mph. And I've had to start wearing reading glasses.
bluetriangle wrote: Sat Feb 28, 2026 3:52 pm It will only ever be an approximation of a fractal, yes. But the larger the numerical triangle the closer we will come to that fractal. So T(Infinity) will be the only numerical triangle that is also a perfect fractal!

The logos star is the same. It's a second-iteration Koch snowflake, but in reality is just a crude approximation of the true fractal. Again only T(Infinity) will give the actual fractal. Only G-triangles can be taken one or more iterations towards the Koch snowflake and most of them only one iteration at that. The first that can be taken two iterations is T91. The first that can be taken three iterations is, oh I forget, but it yields a snowflake with 1261 counters.

You are correct that a true fractal is only in limit as n => infinity. But the term "fractal" is also used (loosely) for the sequence of iterations that form the fractal in the limit. The Logos Star is an EXACT iteration in the Koch sequence. The Sierpinski triangles that you create from T(73) are NOT an exact iteration in that sequence. The Sierpinski sequence is defined by triangles T(n) where n = 2^n + 1 and yields the sequence

3, 6, 15, 42, 123, 366, 1095, 3282, 9843, 29526, 88575, 265722 ... https://oeis.org/A067771

The triangle T(73) plays no role in that sequence.
bluetriangle wrote: Sat Feb 28, 2026 3:52 pm
RAMcGough wrote: Sat Feb 28, 2026 12:33 pm I think it may be the best approximation you could get if you start with an arbitrary triangle T(n). But to me, such approximations are not worthy of God.
I'm not trying to give offense, but perhaps it's what you expect from God that's the issue.

Taking the encoding of pi and e in G1.1 and J1.1, these are transcendentals and so impossible to encode using numbers or algebraic formulae. Even if you use a Taylor series, such as

e = 0! + 1! + 2! + 3! . . . . . .

you would need an infinitely long book to do so. They are good approximations of the numbers though and of course encoding them was far beyond the capabilities and knowledge of the scribes. If they weren't encoded by The Logos how could it have been done? Advanced aliens with a quantum computer? Given the huge timescales and the different physical locations, languages and cultures involved, as well as the myriad other codes in the Bible, that can be discounted. It can only have come from a realm beyond time and place, something like Bohm's implicate order (the Mind of God), manifesting over time in the explicate order (the material universe).

Perhaps the accuracy is also a reflection of our own sin. Maybe if man was a better creature the codes would be better. By this I mean that the codes are like standing waves created by our interaction with the word. A good analogy is standing waves in water or similar media. If our minds were purer God could have done more with them - and vice versa of course.
Please don't worry about giving offense. I'll let you know if my feathers get ruffled. I'm loving this conversation. And I have nothing to defend. I'm just trying to discover the truth with you. I appreciate your help.

I'm glad we're reviewing this. I haven't given this particular pattern any thought since my restoration last February. I'm seeing everything with new eyes, so let's review this together and see what we see.

The algorithm gives only the first 4 digits for pi and for e. At first glance, that doesn't seem like much. If God did this, it obviously has nothing to do with limitations imposed by the transcendental nature of the numbers. He didn't even try to give a significant approximation like 10 or 20 digits, so their transcendence seems totally irrelevant to me. But thinking of the probabilities and the mathematical centrality of the two numbers is making me think this may be significant. There are 9900 four digit numbers that don't start with 0. Thus, the random chance of getting the first four digits of pi is 1/9900 and the same for e. Now if these were just two random numbers with no intrinsic relation or mathematical preeminence, then it might not be meaningful to take the JOINT PROBABILTY of finding both, since the researcher may just as well have found some other random number. But these numbers are premier mathematical constants that are UNITED in one of the most famous and beautiful mathematical relations in existence, the Euler Identity:
image.png
image.png (6.02 KiB) Viewed 26466 times
And this unique pair (pi & e) are derived from the same algorithm applied to the two premier creation passages of Scripture which are themselves UNITED through an amazing and abundant set of algebraic/geometric relations:

Genesis 1:1 = 2701 = 37 x 73 (mirrored primes)
John 1:1 = 3627 = 39 x 93 (mirrored semiprimes)

Geneses 1:1 + John 1:1 = T(112) = 6328

Etc. etc., etc.

Therefore, the JOINT PROBABILITY is significant, and it is (1/9900)^2 = 1 in 98 million.

I now feel this is very significant. I don't know why I didn't see it before. Thanks for reviewing it with me!
bluetriangle wrote: Sat Feb 28, 2026 3:52 pm
RAMcGough wrote: Sat Feb 28, 2026 12:33 pmIt reminds me of the many people who take approximations of real or rational numbers and round them off to fit integer patterns they like.
Such as this?
1080/1480 gives alpha x 100, with an error only 1 in 132,000. It's meaningful too, given that alpha qualifies the strength of the interaction between light and matter. 1080 is the Holy Spirit and 1480 is the Incarnation: light and matter. Then there is 2368/754 approximating to pi and 2368/749 approximation to the square root of 10. I think they're genuine and the pi one is also meaningful, as Jesus is the mediator between heaven (circle) and earth (straight line, part of a square). .
I'm glad you understand the meaning of alpha as the strength of interaction between light and matter. That's why it's appearance as a large prime factor in John 1:1-5 stuck me as so significant. It is reiterated in the passage (see here). We have:

All things were made by him = 2055 = 15 x 137
Sum of John 1:1-5 = 26715 = 13 x 15 x 137

Look at the right side, where the number 137 connects to the two parts:
Image

Now to be clear, I am not adverse to the idea of comparing ratios in general. I've just seen it used a lot in ways that seemed to be unjustified cherry picking. I myself derived the GenSet from the continued fraction of inverse alpha. But note - every line is EXACT. The convergents are approximations, but the values of the convergents are calculated EXACTLY in terms of the GenSet numbers.

Fine Structure Constant
image.png
image.png (76.17 KiB) Viewed 26466 times
Now as for your ratio of 1080/1480. That's "nice" but two problems. You are using To Pneuma Hagion = 1080 for the numerator but just Christos = 1480 for the denominator. That gives an uncomfortable tension of a ratio between an arthrous title to an anarthrous title. Also, the reduced fraction is 1080/1480 = 27/37 which are two genset numbers. So the real significance comes from the genset which is derived from a coherent analysis of Genesis and John and integrates with the continued fraction of inverse alpha, not by comparing arthrous and anarthrous titles with little motivation from Scripture. I grant that comparing Spirit to Christ (incarnation) has a nice ring to it, but it seems arbitrary and subjective, which is what I avoid in all my research.

Please forgive me brother if my words sound sharp! I'm just speaking from the heart with my mind on fire!
bluetriangle wrote: Sat Feb 28, 2026 3:52 pm
God bless you too. And God willing we'll climb the mountain of knowledge and meet at the summit, where all is known.
Amen! It's a joy to be climbing the Mountain of God with you.
Praising God all the day long!
bluetriangle
Posts: 178
Joined: Thu Oct 16, 2025 9:28 pm

Re: Two Transformations of Triangle 2701

Post by bluetriangle »

RAMcGough wrote: Sat Feb 28, 2026 7:31 pm
bluetriangle wrote: Sat Feb 28, 2026 3:52 pm It's been hard on my old eyes too! In fact it's been hard on every part of me. I'm like an old horse ready for the knacker's yard now (I'm only 66, but feel older). But I'll bear your words in mind. Thanks for letting me know.
I'm 66 too. My body is slowing down, but my spirit feels fresh like a child since coming back to faith in Christ. I feel like I'm splashing around in a fountain of love, joy and peace - the fruit of the Spirit.

I've been riding my bike almost every day for many years, and I'm watching my average speed drop from 17 mph, to 15 mph, to 14 mph. And I've had to start wearing reading glasses.
I used to jog regularly, but I gave that up recently. I still walk a lot though. My eldest daughter and I will be tackling Ben Nevis next week. It's Scotland and the UK's highest mountain at 4409ft.
bluetriangle wrote: Sat Feb 28, 2026 3:52 pm It will only ever be an approximation of a fractal, yes. But the larger the numerical triangle the closer we will come to that fractal. So T(Infinity) will be the only numerical triangle that can also become a perfect fractal (after infinite iterations)l
I didn't write this correctly, so I've corrected it.
RAMcGough wrote: Sat Feb 28, 2026 7:31 pm
bluetriangle wrote: Sat Feb 28, 2026 3:52 pm The logos star is the same. It's a second-iteration Koch snowflake, but in reality is just a crude approximation of the true fractal. Again only T(Infinity) will give the actual fractal. Only G-triangles can be taken one or more iterations towards the Koch snowflake and most of them only one iteration at that. The first that can be taken two iterations is T91. The first that can be taken three iterations is, oh I forget, but it yields a snowflake with 1261 counters.

You are correct that a true fractal is only in limit as n => infinity. But the term "fractal" is also used (loosely) for the sequence of iterations that form the fractal in the limit. The Logos Star is an EXACT iteration in the Koch sequence. The Sierpinski triangles that you create from T(73) are NOT an exact iteration in that sequence. The Sierpinski sequence is defined by triangles T(n) where n = 2^n + 1 and yields the sequence

3, 6, 15, 42, 123, 366, 1095, 3282, 9843, 29526, 88575, 265722 ... https://oeis.org/A067771

The triangle T(73) plays no role in that sequence.
Yes, I understand what you mean. We may be at cross purposes here and I wasn't being precise. I need to work out some figures and get back to you on this. The amount of research needed to pin these things down is incredible and as far as I can tell, no one has ever worked these things out before. It's a PhD research project and I'm just an amateur trying my best.

Incidentally, there will be several new numerical sequences to be found here and in the Koch snowflake/antisnowflake sequences. John Elias created sequences from some of the snowflakes I'd already found and published them on the OEIS. But there are many more.
RAMcGough wrote: Sat Feb 28, 2026 12:33 pm I'm glad we're reviewing this. I haven't given this particular pattern any thought since my restoration last February. I'm seeing everything with new eyes, so let's review this together and see what we see.

The algorithm gives only the first 4 digits for pi and for e.
It's 5 for pi, but that's a minor point. The errors are roughly the same: 1 in 88000 and 1 in 82000.
RAMcGough wrote: Sat Feb 28, 2026 12:33 pm At first glance, that doesn't seem like much. If God did this, it obviously has nothing to do with limitations imposed by the transcendental nature of the numbers. He didn't even try to give a significant approximation like 10 or 20 digits, so their transcendence seems totally irrelevant to me.
Okay, fair enough. I was just making the point (more for others) that it can never be done even in principle.
RAMcGough wrote: Sat Feb 28, 2026 12:33 pm But thinking of the probabilities and the mathematical centrality of the two numbers is making me think this may be significant. There are 9900 four digit numbers that don't start with 0. Thus, the random chance of getting the first four digits of pi is 1/9900 and the same for e. Now if these were just two random numbers with no intrinsic relation or mathematical preeminence, then it might not be meaningful to take the JOINT PROBABILTY of finding both, since the researcher may just as well have found some other random number. But these numbers are premier mathematical constants that are UNITED in one of the most famous and beautiful mathematical relations in existence, the Euler Identity:
image.png
My favourite equation! I feel awestruck just contemplating it. And of course it incorporates the fundamental unit 1 and the empty quantity 0, which together give us decimal notation and binary code, and the mysterious i, the basis of complex numbers and a mathematical sleight-of-hand that is nevertheless expressed in the world around us. I think more than anything this convinces me that our material world has mathematical roots.
RAMcGough wrote: Sat Feb 28, 2026 12:33 pm And this unique pair (pi & e) are derived from the same algorithm applied to the two premier creation passages of Scripture which are themselves UNITED through an amazing and abundant set of algebraic/geometric relations:

Genesis 1:1 = 2701 = 37 x 73 (mirrored primes)
John 1:1 = 3627 = 39 x 93 (mirrored semiprimes)

Geneses 1:1 + John 1:1 = T(112) = 6328

Etc. etc., etc.

Therefore, the JOINT PROBABILITY is significant, and it is (1/9900)^2 = 1 in 98 million.
Yes and of course they sum to give a number that is in error of the true value of pi + e by only 1 in 850,000. As I said before, when you add alpha, the error then reduces to 1 in around 16 million, another sign they were consciously encoded. It's a beautiful, self-contained masterpiece of design.

Regarding 6328, there is much more to be found by combining these two verses. I've done a suite of pages exploring the geometry that emerges when G1.1 and J1.1 are combined.The figure below is one of them, a third-step Koch snowflake created from G1.1 + the third clause of J1.1. Note that one way it can be sectioned off internally, giving 373 x 7 and 151 x 6, is actually encoded in word strings.






RAMcGough wrote: Sat Feb 28, 2026 12:33 pm I'm glad you understand the meaning of alpha as the strength of interaction between light and matter. That's why it's appearance as a large prime factor in John 1:1-5 stuck me as so significant. It is reiterated in the passage (see here). We have:

All things were made by him = 2055 = 15 x 137
Sum of John 1:1-5 = 26715 = 13 x 15 x 137

Look at the right side, where the number 137 connects to the two parts:
Image

Now to be clear, I am not adverse to the idea of comparing ratios in general. I've just seen it used a lot in ways that seemed to be unjustified cherry picking. I myself derived the GenSet from the continued fraction of inverse alpha. But note - every line is EXACT. The convergents are approximations, but the values of the convergents are calculated EXACTLY in terms of the GenSet numbers.

Fine Structure Constant

image.png
This is incredible. I don't know if I've seen this before. What do you get when you take the continued fraction to infinity?

Eddington came up with an equation, of which alpha is a root, that gave an almost exact value:

x^4 - 136x^3 - 136x^2 - 818x + 1 = 0

giving 1/alpha = 137.03599916. . .

This differs from the most recent measurements of alpha only at the 8th decimal digit.

1/alpha = 137.03599917. . .

It might be interesting to compare it with yours for accuracy.
RAMcGough wrote: Sat Feb 28, 2026 12:33 pm Now as for your ratio of 1080/1480. That's "nice" but two problems. You are using To Pneuma Hagion = 1080 for the numerator but just Christos = 1480 for the denominator. That gives an uncomfortable tension of a ratio between an arthrous title to an anarthrous title.
Hmm. 'Christ' is normally used without the definite article and I'm assuming that the Greek Christos is the same. I don't see a great tension there, although it would have been preferable for it to have been 2368.

Incidentally, are you aware that the sum of G1.1, divided by the product of the word values in G1.1 gives 888? A scaling factor of 10^17 is required.

(2701/(913x203x86x401x395x407x296)) x 10^17 = 888.0383. . .

I haven't seen it anywhere, though it's hard to believe no-one has found it before me.
RAMcGough wrote: Sat Feb 28, 2026 12:33 pmAlso, the reduced fraction is 1080/1480 = 27/37 which are two genset numbers. So the real significance comes from the genset which is derived from a coherent analysis of Genesis and John and integrates with the continued fraction of inverse alpha, not by comparing arthrous and anarthrous titles with little motivation from Scripture. I grant that comparing Spirit to Christ (incarnation) has a nice ring to it, but it seems arbitrary and subjective, which is what I avoid in all my research.
Yes, I knew it reduced to 27/37, but forgot about your generating set.

The subject of deriving constants (mathematical and physical) from G1.1 (I've found several) should maybe be the subject of another thread. I would argue that they are justified and I've found them from geometric constructions, particularly gamma (Euler's constant) and c (the speed of light). But this discussion is beginning to branch off, so I'll leave it for now.
RAMcGough wrote: Sat Feb 28, 2026 12:33 pmPlease forgive me brother if my words sound sharp! I'm just speaking from the heart with my mind on fire!
No offense taken. In turn I would ask you to forgive me for any offense I may have caused you in discussions we've had over the years. I enjoy these discussions too and I always learn something from you.
Attachments
3517.png
3517.png (203.79 KiB) Viewed 26346 times
RAMcGough
Site Admin
Posts: 310
Joined: Fri Oct 10, 2025 6:18 pm
Contact:

Re: Two Transformations of Triangle 2701

Post by RAMcGough »

bluetriangle wrote: Sun Mar 01, 2026 12:50 am Regarding 6328, there is much more to be found by combining these two verses. I've done a suite of pages exploring the geometry that emerges when G1.1 and J1.1 are combined.The figure below is one of them, a third-step Koch snowflake created from G1.1 + the third clause of J1.1. Note that one way it can be sectioned off internally, giving 373 x 7 and 151 x 6, is actually encoded in word strings.
image.png
image.png (183.38 KiB) Viewed 23695 times
Hey there Bill,

How did you find that high order Koch Snowflake? It must have taken a lot of trial and error. It is a stunning discovery since it encodes the geometric structure of the higher order Koch Snowflake in terns of lower order terms.

Can you post link or two to the page that has the "suite of pages" where you've studied these verses?

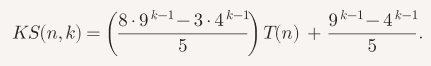
Here's the thing. There are two indexes needed when talking about finite Koch Snowflake iterates made by stacking circles. They are not continuous like the iterates drawn with line segments. The first number is the index n of a regular figurate number. It tells the size in terms of circles needed (the size of the base triangle). The second number k is the regular Koch Snowflake iteration number. This tells us how many "bumps" there are per side. Here's the formula. Note that the only place n appears is in T(n) - the nth triangular number.
.
image.png
image.png (5.78 KiB) Viewed 23695 times
.
Here is the sequence figurate Koch Snowflake interates:

KS(n,1) = triangular numbers T(n)
KS(n,2) = star numbers S(n)
KS(n,3) = first iterate that looks like a Koch Snowflake = 7KS(n,2) + 6HS(n,2) <<< Made from combo of previous KS(n,2)/HS(n,2)
KS(n,4) = second iterate that looks more like a Koch Snowflake = 7KS(n,3) + 6HS(n,3) <<< Made from combo of previous KS(n,3)/HS(n,3)

Now the really amazing thing is that six of these number are permutable primes (there are only 17 such primes in existence). I've highlighted them yellow.
image.png
image.png (19.85 KiB) Viewed 23695 times
But look closely and you'll see 3517 is in the same row as 37 and 373. That's because those are three iterations with the same n (base triangle):

KS(2,2) = 37
KS(2,3) = 373 = 7x37 + 6x19
KS(2,4) = 3517 = 7x373 + 6x151

We've filled in that part of the puzzle pretty well. Here's the next piece we need to find:

KS(3,2) = 73
KS(3,3) = 733 = 7x73 + 6x37
KS(3,4) = 6901 = 7x733 + 6x295 = 5131 + 1770

Note that HS(3,3) = 295 = Menorah (SH) and remember how the Genesis 1:1 fits the Menorah pattern.

My first guess would be that the KS(3,4) = 6901 should be hidden in the text of Genesis 1:1 + John 1:1, but it's too big since their sum is T(112) = 6328. So my second guess is that this might involve an extension of Genesis 1:1 to the next verse. Vernon Jenkins explored this a lot and found some amazing patterns.

I just wanted to put this on your radar so if you encounter any of these number in your study of Genesis and John they'll light up for you.
Praising God all the day long!
bluetriangle
Posts: 178
Joined: Thu Oct 16, 2025 9:28 pm

Re: Two Transformations of Triangle 2701

Post by bluetriangle »

RAMcGough wrote: Sat Mar 07, 2026 4:38 pm
bluetriangle wrote: Sun Mar 01, 2026 12:50 am Regarding 6328, there is much more to be found by combining these two verses. I've done a suite of pages exploring the geometry that emerges when G1.1 and J1.1 are combined.The figure below is one of them, a third-step Koch snowflake created from G1.1 + the third clause of J1.1. Note that one way it can be sectioned off internally, giving 373 x 7 and 151 x 6, is actually encoded in word strings.
image.png
Hey there Bill,

How did you find that high order Koch Snowflake? It must have taken a lot of trial and error. It is a stunning discovery since it encodes the geometric structure of the higher order Koch Snowflake in terns of lower order terms.
Hi Richard.

Very interesting post! I'll answer it in parts.

It took almost no trial and error, because I built up the snowflakes by a method that models then reiterates the 6+1 Creation week, by what I call the Creation Function.

I have it all on my site, but I'll draw some iterations for this post.

Note that the seventh day figure becomes the six-day unit for the next iteration.


Creation Function
Unit: Hexagon 1

Creation Function.png
Creation Function.png (77.59 KiB) Viewed 23492 times

That's the basic function, using hexagon 1. This can be repeated using ever larger members of the hexagon sequence and it creates alternating Koch snowflakes and anti snowflakes. This table shows the first few iterations of each sequence.

Creation Function Table.png
Creation Function Table.png (41.57 KiB) Viewed 23492 times
RAMcGough wrote: Sat Mar 07, 2026 4:38 pm Can you post link or two to the page that has the "suite of pages" where you've studied these verses?
This is the first page in the suite, The Word in Pictures: https://www.thesecretcode.co.uk/page_4817206
There are links at the bottom of each page to the next.

The Word in Pictures deals with geometry encoded within John 1.1.
The next page, The Creation Seal, begins to map out the geometry formed by joining G1.1 and J1.1. It contains snowflake 3517.
https://www.thesecretcode.co.uk/page_2467181.html
bluetriangle
Posts: 178
Joined: Thu Oct 16, 2025 9:28 pm

Re: Two Transformations of Triangle 2701

Post by bluetriangle »

RAMcGough wrote: Sat Mar 07, 2026 4:38 pm Here is the sequence figurate Koch Snowflake interates:

KS(n,1) = triangular numbers T(n)
KS(n,2) = star numbers S(n)
KS(n,3) = first iterate that looks like a Koch Snowflake = 7KS(n,2) + 6HS(n,2) <<< Made from combo of previous KS(n,2)/HS(n,2)
KS(n,4) = second iterate that looks more like a Koch Snowflake = 7KS(n,3) + 6HS(n,3) <<< Made from combo of previous KS(n,3)/HS(n,3)

Now the really amazing thing is that six of these number are permutable primes (there are only 17 such primes in existence).

But look closely and you'll see 3517 is in the same row as 37 and 373. That's because those are three iterations with the same n (base triangle):
Yes, I was aware of all that, although it was only after your post I knew they were called permutable primes. There are so many directions I could have explored.
RAMcGough wrote: Sat Mar 07, 2026 4:38 pm KS(2,2) = 37
KS(2,3) = 373 = 7x37 + 6x19
KS(2,4) = 3517 = 7x373 + 6x151

We've filled in that part of the puzzle pretty well. Here's the next piece we need to find:

KS(3,2) = 73
KS(3,3) = 733 = 7x73 + 6x37
KS(3,4) = 6901 = 7x733 + 6x295 = 5131 + 1770

Note that HS(3,3) = 295 = Menorah (SH) and remember how the Genesis 1:1 fits the Menorah pattern.

My first guess would be that the KS(3,4) = 6901 should be hidden in the text of Genesis 1:1 + John 1:1, but it's too big since their sum is T(112) = 6328. So my second guess is that this might involve an extension of Genesis 1:1 to the next verse. Vernon Jenkins explored this a lot and found some amazing patterns.

I just wanted to put this on your radar so if you encounter any of these number in your study of Genesis and John they'll light up for you.
I'll have a look and get back to you later (going off to church now). It's a while since I did those pages. I'm not convinced 6901 has to be there, since it's based on hexagram 73, rather than 37. But it could be. There is also the previous iteration, anti snowflake 2503.

I have to say, you have a completely different way of approaching this work. I'm not saying it's wrong and I appreciate the formal language you use. But I've done it all intuitively and visually. The Creation function made it all very simple and it produces the same figures as the Koch function, but with internal structure. The gematria fits it very well too and has to have been designed with these figures in mind.

So for KS2 we have:
The Almighty God (s)= 1279
Logos = 373
Jesus Christ (o) = 151
Holy Spirit (o) = 151
Spirit (r) = 37
The Lord (r) = 37

The first six-day ring icreated is 114 (6 x 19).
God (c) = 114
bluetriangle
Posts: 178
Joined: Thu Oct 16, 2025 9:28 pm

Re: Two Transformations of Triangle 2701

Post by bluetriangle »

Here are some images that map out the geometry, including mirrored pairs of fractal precursors, created by the joining of Genesis 1.1 and John 1.1.
CS1.png
CS1.png (178.01 KiB) Viewed 23104 times
CS2.png
CS2.png (266.92 KiB) Viewed 23104 times
The next two images show the Koch snowflake and trefoils encoded over the first four and last four natural divisions within the two verses.
CS3a.png
CS3a.png (249 KiB) Viewed 23104 times
CS3b.png
CS3b.png (208.27 KiB) Viewed 23104 times
Screen Shot 2026-03-08 at 18.37.56.png
Screen Shot 2026-03-08 at 18.37.56.png (139.01 KiB) Viewed 23104 times
The natural word-group divisions support most of this geometry through factorization of number strings and their mirrors. From right to left we have clauses of 232575 words and from left to right we have the mirror, 575232.

These factorise into

232575 = 443 x 525; Ho Logos (s) = 443
575232 = 749 x 768; Yeshua HaMashiach (s) = 749

By sum and difference we find further encoded numbers

575232 + 232575 = 807807
Christ the Lord (s) = 807

575232 - 232575 = 342657 = 777 x 441 = 37 x 21^3 = 999 x 7^3, etc

Our Lord (c_ = 777
The Word (c) = 999
Emet/Truth (s) = 441

Substrings:
2325 = 93 x 25; The Word (o) = 93
5232 = 654 x 8; Word (s) = 654
2575 = 515 x 5; Jesus (s) = 515
5752 = 719 x 8; The High Priest (s) = 719
bluetriangle
Posts: 178
Joined: Thu Oct 16, 2025 9:28 pm

Re: Two Transformations of Triangle 2701

Post by bluetriangle »

Fermat found that any prime leaving a remainder of 1 when divided by four is the sum of two squares, because all sums of two squares leave a remainder of 0, 1 or 2 mod 4, and for odd primes only 1 is possible.

All of the star and snowflake primes we’ve been discussing - 13, 37, 73, 337, 373, 733 - in addition to being permutable primes, also belong to this class of prime.

So, 732/4 =183, and
733 = 2^2 + 27^2


137 also belongs to this class, since 136 (34 x 4) = 8^2 + 10^2

So does 3517, which is 8^2 + 59 ^2.
Last edited by bluetriangle on Mon Mar 09, 2026 8:21 am, edited 2 times in total.
RAMcGough
Site Admin
Posts: 310
Joined: Fri Oct 10, 2025 6:18 pm
Contact:

Re: Two Transformations of Triangle 2701

Post by RAMcGough »

bluetriangle wrote: Mon Mar 09, 2026 7:34 am Fermat found that any prime leaving a remainder of 1 when divided by four is the sum of two squares, because all sums of two squares leave a remainder of 0, 1 or 2 mod 4, and for odd primes only 1 is possible.

All of the star and snowflake primes we’ve been discussing - 13, 37, 73, 337, 373, 733 - in addition to being permutable primes, also belong to this class of prime.

So, 732/4 =183, and
733 = 2^2 + 27^2


137 also belongs to this class, since 136 (34 x 4) = 8^2 + 10^2
Good insights Alex! There's a lot to explore in that sequence. They are not merely of the form 4n+1, but also 12n+1.

13 = 12 + 1
37 = 12 x 3 + 1
73 = 12 x 6 + 1
337 = 12 x 28 + 1
373 = 12 x 31 x + 1
733 = 12 x 61 + 1
Praising God all the day long!
Geert van den Bos
Posts: 303
Joined: Fri Oct 17, 2025 2:01 am

Re: Two Transformations of Triangle 2701

Post by Geert van den Bos »

RAMcGough wrote: Mon Mar 09, 2026 8:17 am
bluetriangle wrote: Mon Mar 09, 2026 7:34 am Fermat found that any prime leaving a remainder of 1 when divided by four is the sum of two squares, because all sums of two squares leave a remainder of 0, 1 or 2 mod 4, and for odd primes only 1 is possible.

All of the star and snowflake primes we’ve been discussing - 13, 37, 73, 337, 373, 733 - in addition to being permutable primes, also belong to this class of prime.

So, 732/4 =183, and
733 = 2^2 + 27^2


137 also belongs to this class, since 136 (34 x 4) = 8^2 + 10^2
Good insights Alex! There's a lot to explore in that sequence. They are not merely of the form 4n+1, but also 12n+1.

13 = 12 + 1
37 = 12 x 3 + 1
73 = 12 x 6 + 1
337 = 12 x 28 + 1
373 = 12 x 31 x + 1
733 = 12 x 61 + 1

733 is gematria of "labbat-esh" in Exodus 3:2
וַיֵּרָ֠א מַלְאַ֨ךְ יְהֹוָ֥ה אֵלָ֛יו בְּלַבַּת־אֵ֖שׁ מִתּ֣וֹךְ הַסְּנֶ֑ה וַיַּ֗רְא וְהִנֵּ֤ה הַסְּנֶה֙ בֹּעֵ֣ר בָּאֵ֔שׁ וְהַסְּנֶ֖ה אֵינֶ֥נּוּ אֻכָּֽל

When I found that I thought it to be amazing, since 733 = (7 x 73) + (6 x 37)
Post Reply